
Kỳ thi lớp 10 THPT của TP Cần Thơ năm học 2024-2025 - Ảnh: T.L.
Năm học này, kế hoạch tuyển sinh đầu cấp TP Cần Thơ có nhiều điểm mới, sau sáp nhập địa giới hành chính và chính quyền địa phương hai cấp. Đặc biệt ở kỳ tuyển sinh lớp 10 năm nay, lần đầu áp dụng cả hai phương thức là thi tuyển và xét tuyển.
Theo Sở Giáo dục và Đào tạo TP Cần Thơ, trước đó đã lấy ý kiến các trường THPT về phương thức tuyển sinh của năm học 2026 - 2027. Theo đó, hầu hết các trường điểm, trường chuyên, trường thuộc tốp điểm chuẩn cao của các năm trước chọn hình thức thi tuyển.
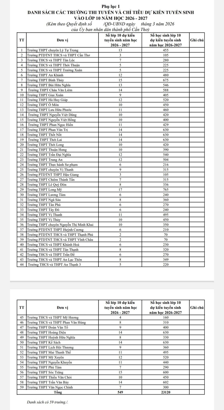
Sở Giáo dục và Đào tạo cũng cho biết sẽ có hai phụ lục: danh sách các trường THPT sẽ tuyển sinh hình thức thi tuyển gồm 59 trường; danh sách các trường thực hiện xét tuyển có 32 trường; các trung tâm giáo dục nghề nghiệp - giáo dục thường xuyên cũng thực hiện xét tuyển.

Danh sách các trường thi tuyển của TP Cần Thơ - Ảnh: Sở GD & ĐT Cần Thơ
Năm nay kỳ thi tuyển sinh lớp 10, mỗi thí sinh được đăng ký tối đa 4 nguyện vọng tuyển sinh vào các trường THPT công lập, THPT chuyên và phổ thông dân tộc nội trú. Cụ thể, nguyện vọng 1 là các trường THPT chuyên (đăng ký nguyện vọng vào trường THPT chuyên nào thì tham gia kỳ thi tuyển sinh tại trường đó).
Nguyện vọng 2 là trường THPT công lập hoặc trường phổ thông dân tộc nội trú thứ nhất trên địa bàn thành phố (kể cả Trường thực hành Sư phạm - Đại học Cần Thơ). Nguyện vọng 3 là trường THPT công lập hoặc trường phổ thông dân tộc nội trú thứ hai trên địa bàn… Nguyện vọng 4 là các trung tâm giáo dục nghề nghiệp - giáo dục thường xuyên (dành cho cả học sinh dân tộc Kinh và dân tộc thiểu số).
Các thí sinh đăng ký dự tuyển vào các trường THPT áp dụng phương thức thi tuyển vẫn được đăng ký nguyện vọng vào cả các trường tuyển sinh theo phương thức xét tuyển.
Môn thi là toán (trắc nghiệm kết hợp với tự luận), ngữ văn (hình thức tự luận), thời gian làm bài 120 phút và ngoại ngữ (tiếng Anh hoặc Pháp) thi trắc nghiệm kết hợp tự luận, thời gian làm bài 60 phút.
Thời gian thi tuyển sinh từ ngày 28, 29 và 30-6. Riêng các trường thi môn chuyên đến ngày 1-7. Năm nay TP Cần Thơ có 3 trường chuyên: Trường THPT chuyên Lý Tự Trọng tuyển sinh 13 lớp chuyên; Trường THPT chuyên Nguyễn Thị Minh Khai tuyển sinh 10 lớp chuyên; Trường THPT chuyên Vị Thanh tuyển sinh 9 lớp chuyên.
Theo phương án tuyển sinh, các trường thực hiện tuyển sinh hình thức xét tuyển sẽ thực hiện điểm quy đổi theo kết quả rèn luyện và học tập.
Điểm quy đổi được tính theo kết quả rèn luyện và học tập của mỗi năm học cấp THCS của học sinh
Riêng đối với tuyển sinh đầu cấp lớp 6, TP Cần Thơ thực hiện xét tuyển 100% học sinh thuộc đối tượng tuyển sinh trung học cơ sở vào học lớp 6 trên cơ sở đảm bảo các quy định của trường, tạo điều kiện cho tất cả học sinh trong độ tuổi được đến trường.
Tối đa: 1500 ký tự
Hiện chưa có bình luận nào, hãy là người đầu tiên bình luận