
Học sinh tìm hiểu thông tin tuyển sinh lớp 10 TP.HCM tại ngày hội Tự tin vào lớp 10 do báo Tuổi Trẻ tổ chức - Ảnh: QUANG ĐỊNH
Sở Giáo dục và Đào tạo TP.HCM cho biết năm học 2026-2027, 176 trường THPT công lập sẽ tuyển 117.355 học sinh lớp 10.
41 trung tâm giáo dục thường xuyên - giáo dục nghề nghiệp công lập sẽ tuyển 16.226 học sinh.
Ngoài ra Trường phổ thông Năng khiếu (Đại học Quốc gia TP.HCM), Trường trung học Thực hành (Đại học Sư phạm TP.HCM), Trường trung học Thực hành Sài Gòn (Trường đại học Sài Gòn), Trường quốc tế Việt Nam - Phần Lan (Trường đại học Tôn Đức Thắng), Trường phổ thông Năng khiếu thể thao Olympic (Trường đại học Thể dục Thể thao TP.HCM) tuyển 1.195 học sinh lớp 10.
Trong khi đó, dự kiến số học sinh tốt nghiệp lớp 9 năm học 2025-2026 là 169.080 em, tăng 42.734 em so với năm học trước.
Trong đó khu vực 1 (TP.HCM) tăng 27.106 học sinh, khu vực 2 (Bình Dương) tăng 8.419 học sinh và khu vực 3 (Bà Rịa - Vũng Tàu) tăng 7.209 học sinh.
Tỉ lệ học sinh hoàn thành lớp 9 vào lớp 10 công lập các trường THPT và trung tâm giáo dục thường xuyên là 79%.
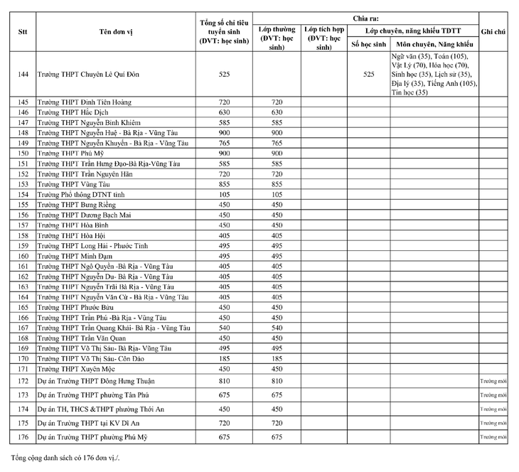
Chỉ tiêu tuyển sinh lớp 10 các trường công lập




Chỉ tiêu tuyển sinh lớp 10 các trung tâm giáo dục thường xuyên - giáo dục nghề nghiệp công lập


Chỉ tiêu tuyển sinh lớp 10 các trường thuộc đại học, trường đại học

Tối đa: 1500 ký tự
Hiện chưa có bình luận nào, hãy là người đầu tiên bình luận