Bấm vào để xem bài giải môn Toán file word/ file pdfĐa số thí sinh thấy đề toán dễNhiều thí sinh bị đình chỉ trong buổi thi đầu tiên
![]() |
| Nụ cười rạng rỡ của các thí sinh tại điểm thi Trường ĐH Ngoại thương - Hà Nội sau giờ thi môn Toán - Ảnh: Việt Dũng |
Phóng to |
| Thí sinh rời khỏi phòng thi sau khi kết thúc môn toán tại hội đồng thi trường ĐH Công Nghiệp TP.HCM - Ảnh: Thuận Thắng |
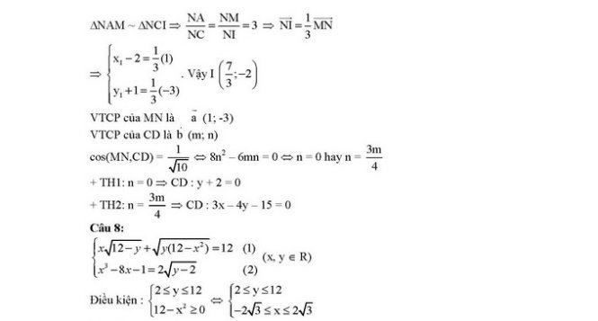
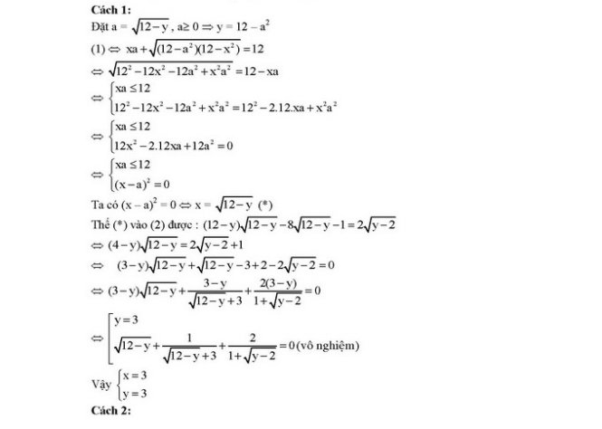
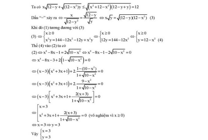
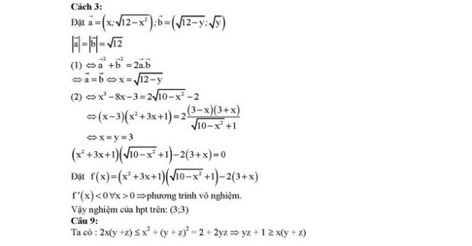
BÀI GIẢI
![]() |
![]() |
![]() |
![]() |
![]() |
![]() |
![]() |
![]() |
![]() |
![]() |












Tối đa: 1500 ký tự
Hiện chưa có bình luận nào, hãy là người đầu tiên bình luận